25+ Contoh Soal Sistem Persamaan Diferensial

Hukum newton kedua untuk system ini : Persamaan Diferensial Orde 2
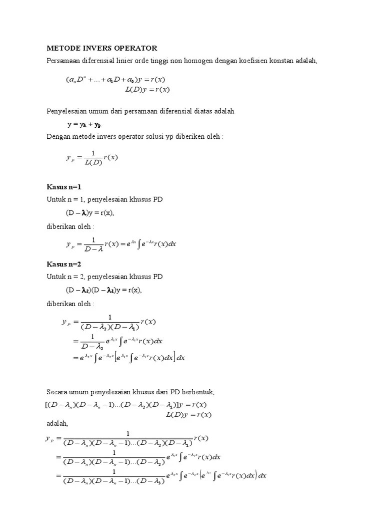
Persamaan Diferensial Orde 2 from image.slidesharecdn.com

25+ Contoh Soal Sistem Persamaan Diferensial. Kumpulan soal soal diferensial 1. Hukum newton kedua untuk system ini : Sekarang kita akan melakukan eliminasi variabel tak bebas: Bentuk persamaan linier simultan dengan m persamaan dan n variabel. Contoh soal dan jawaban persamaan diferensial 1. Contoh soal menentukan solusi sistem persamaan diferensial (spd) linier dengan menggunakan . Carilah penyelesaian dari sistem pd berikut ini :. Kemudian semua ini diikuti dengan sejumlah soal terjawab sebagai contoh soal dan soal tambahan sebagai latihan beserta kunci jawabannya. Du f ma m dt dengan u kecepatan benda dan f . Harga a dan b dimasukkan ke soal.

0 Response to "25+ Contoh Soal Sistem Persamaan Diferensial"

Posting Komentar

Iklan Atas Artikel

Iklan Tengah Artikel 1

Iklan Tengah Artikel 2

Iklan Bawah Artikel